泰国柬埔寨签署停火协议看看停火协议能管多久?今天,泰国和柬埔寨两国国防部长在泰国

环亚观察家 2025-12-27 12:58:38

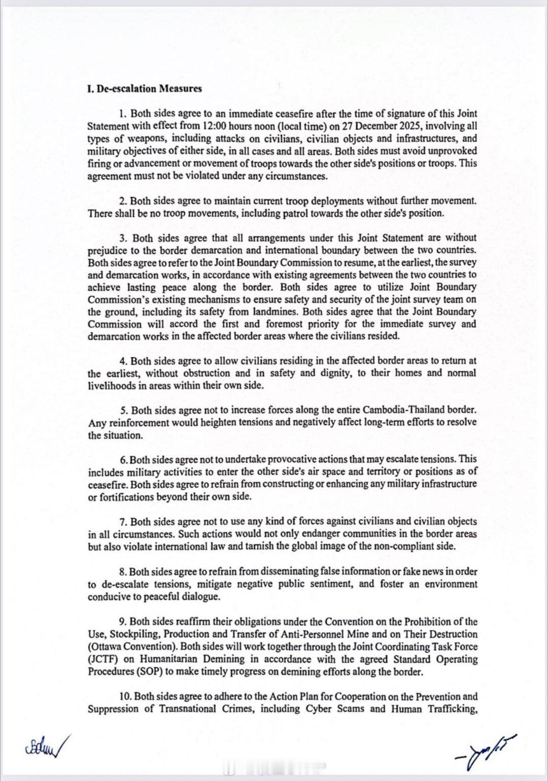
泰国柬埔寨签署停火协议看看停火协议能管多久?今天,泰国和柬埔寨两国国防部长在泰国尖竹汶府边境口岸就停火问题签署协议,双方同意从12月27日中午12点起停火。双方同意停止一切袭击,包括针对平民和民用基础设施的袭击,并冻结部队阵地,不再进行任何调动或增援。该协议承诺两国缓和局势,允许流离失所的平民安全返回家园,避免采取挑衅行动、侵犯领空和散布虚假信息,并尊重国际法和边界。东盟观察员小组将监督协议的执行情况,并已建立协调机制和直接军事沟通渠道。

0 阅读:2
环亚观察家

环亚观察家

感谢大家的关注