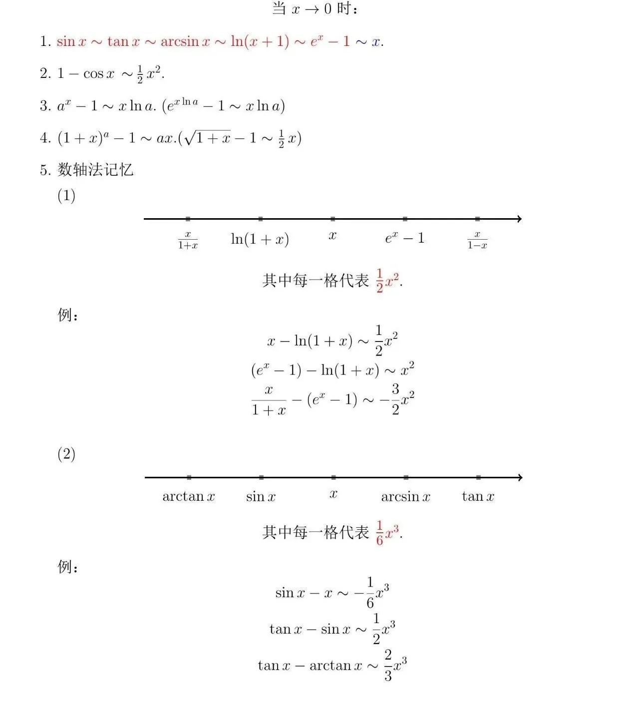
高等数学常用的等价无穷小公式
猜你喜欢
【3评论】【1点赞】
【1点赞】
【7评论】【3点赞】
【2点赞】
【1评论】【1点赞】
【63评论】【114点赞】
破天惊
感谢大家的关注
作者最新文章
热门分类
国际TOP
国际最新文章