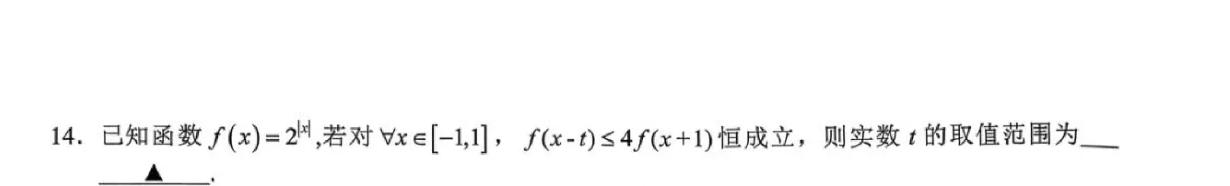
浙江名校联合体和江苏百校大联考2025-2026学年高一上学期12月阶段检测数学试卷选择题多选题填空题及其详细解答。
猜你喜欢
【10评论】【11点赞】
【99评论】【33点赞】
【9评论】【280点赞】
【1点赞】
【1评论】
桐瑞漫说小姐姐
感谢大家的关注
作者最新文章
热门分类