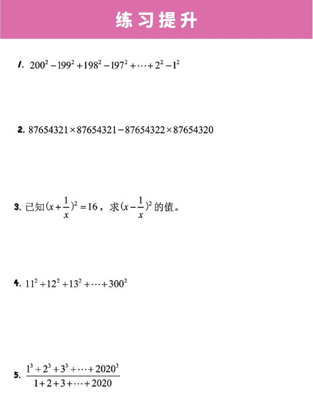
🌈今天给大家分享小学奥数计算中常用的十大公式,熟练掌握的话,能够提升中高年级孩子的计算速度和准确率✅
👉后面配有练习和答案,供孩子们在暑假进行能力提升~😎😎
📌如果觉得有难度的话,就先熟悉下面这些基础定律:
1️⃣加法交换律:a+b=b+a,
2️⃣加法结合律:(a+b)+c=a+(b+c),
3️⃣乘法交换律:a×b=b×a。
4️⃣乘法结合律:(a×b)×c=a×(b×c)。
5️⃣乘法分配律:a×(b+c)=a×b+a×c,
6️⃣等差数列求和公式:和=(首项+末项)×项数÷2
7️⃣平方差公式:a²-b²=(a+b)(a-b)。
8️⃣完全平方公式:(a±b)²=a²±2ab+b²
……




