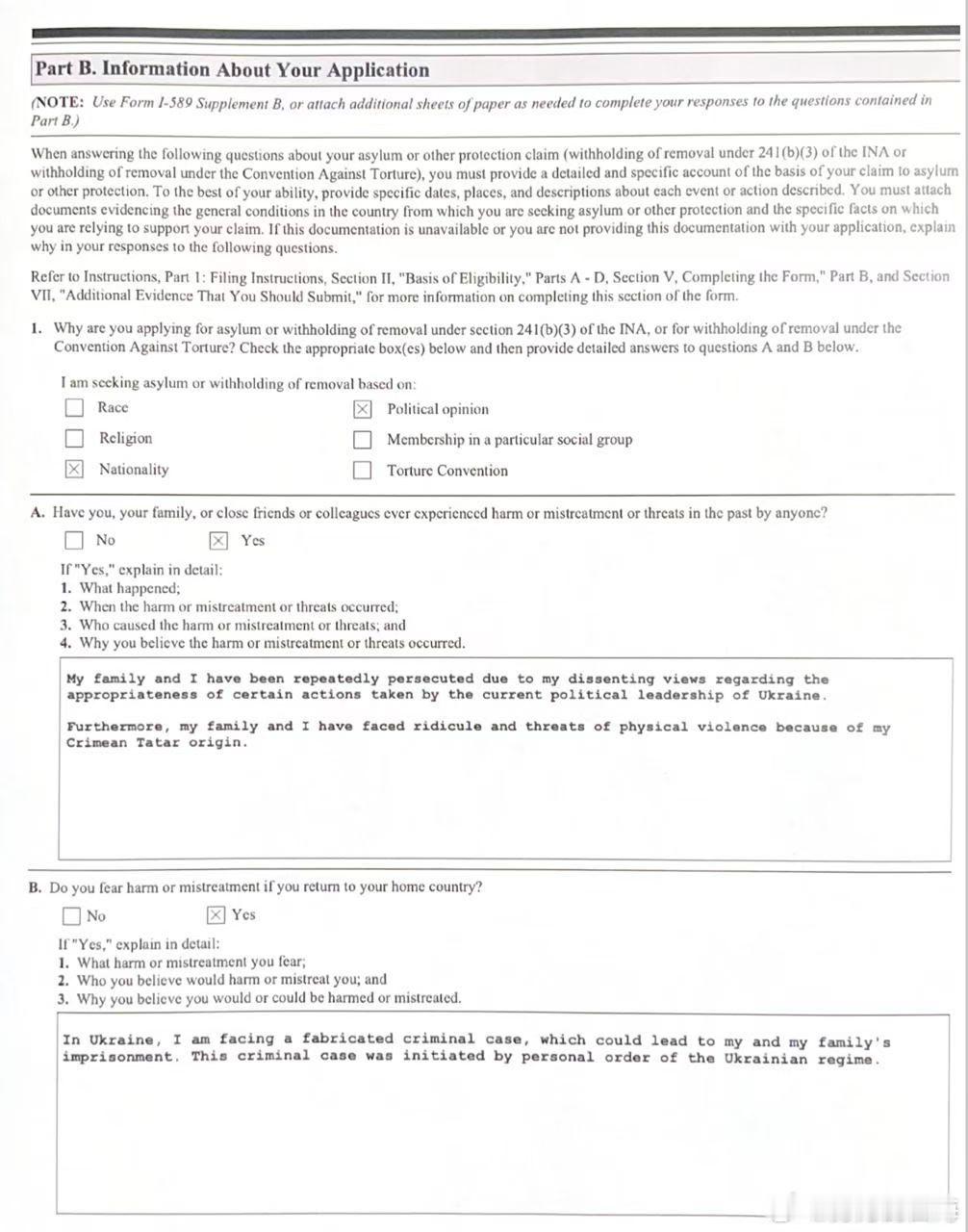
乌克兰前国防部长现任国家安全与国防委员会秘书长乌梅洛夫向美国递交"政治避难"申请,申请中称自己"…因民族属性遭受迫害…",并担心会遭到"乌克兰政府中各人的指令对自己立案"并刑事起诉。
努力西海
感谢大家的关注
作者最新文章
热门分类
国际TOP
国际最新文章