想孩子数学进步 其实很简单 只要家长在陪跑路上做好一件事 举例如图 第一题是公

数学放大镜 2025-12-10 09:59:08

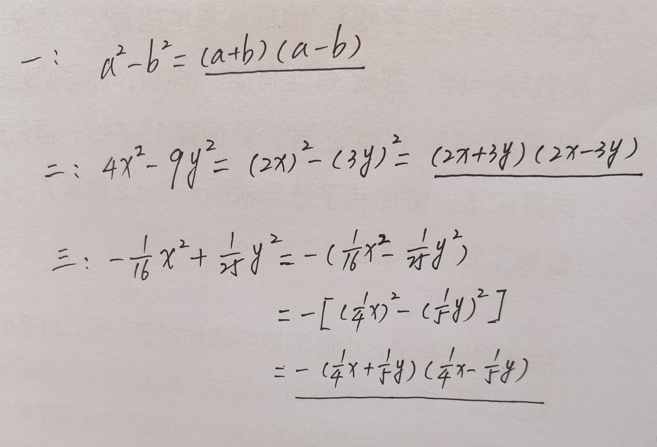
想孩子数学进步 其实很简单 只要家长在陪跑路上做好一件事 举例 如图 第一题是公式 学到肯定会 但这不够 他需要会第二题 第二题会了算是对变形有点感觉了 这仍然未够 还得练会第三题 至此 这个知识点的基础才算通透 家长要做好的事就是 知道孩子的不足 帮他找到第二第三题来夯实 你可能会说 这不是学校老师的本职吗 为什么要家长去找 其实老师的作业和练习当然有这些变式拓展 但问题你家娃是否完全不折不扣做好了呢 有遗漏你自己去补漏才最实际 总结一下 想孩子数学进步 就要了解他现时的“斤两” 找他自然身高够不着 但蹬脚跳一下就能够得着的题型给他练 练一段时间他形成习惯了再放手即可 此方法很有效

0 阅读:0
数学放大镜

数学放大镜

感谢大家的关注