童话发表‼️收到样刊好开心|附创作技巧

纯粹滴读书 2025-12-06 00:27:40
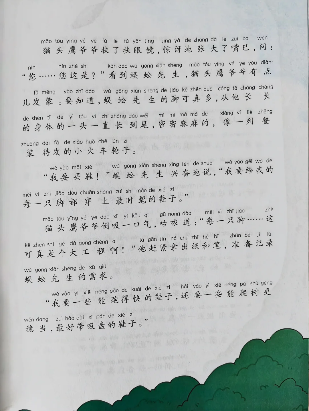
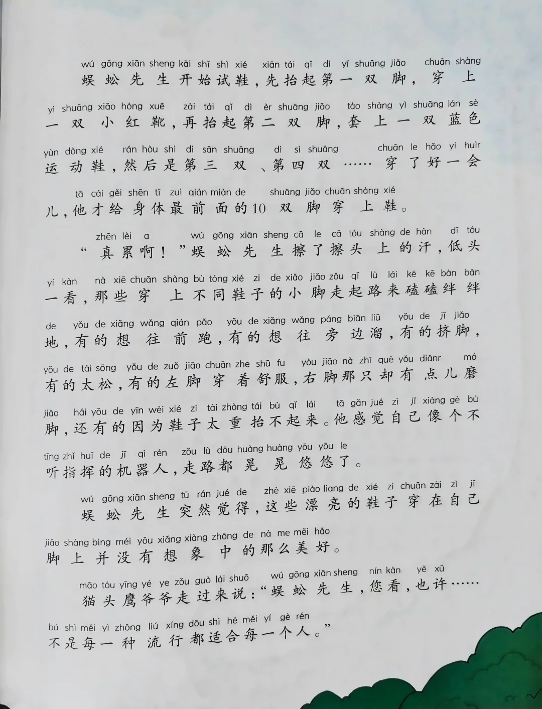
收到《小天使报》杂志样刊了,超级激动[哭惹R][哭惹R]。 这篇童话从投稿到收稿通知,再到排版、印刷、最后拿到样刊,这个过程有4个月左右,周期相比成人报刊杂志长很多。 . 👉等待的时间不要浪费 与其每天焦虑地等消息,不如继续写新的故事。我就是在等样刊的这几个月里,又完成了3篇新作品,并且也都发表了![偷笑R][偷笑R][偷笑R] . 👉说起这篇《小蜈蚣穿鞋》的灵感来源,真的特别有意思!有一天在家里看到了一只蜈蚣,密密麻麻的小脚丫在地上爬来爬去。我突然脑洞大开:"这么多脚,如果她去买鞋子会怎么样?" . 👉就是这么一个简单的念头,让我一下子找到了故事的切入点!我想写一个关于"寻找适合自己的生活方式"的主题——就像小蜈蚣要找到适合自己一百只脚的鞋子一样,每个人也需要找到属于自己的生活节奏 . 🌿我总结的童话创作小技巧 其实写童话其实没那么难,关键是要掌握几个核心方法: 1⃣从日常生活中捕捉灵感 童话的种子就藏在我们的日常里!一只蜈蚣、一片落叶、一颗星星...都可能变成故事的主角。建议大家养成童话眼的习惯--看到任何事物都问自己如果它会说话/有情感会怎样?这种观察力是可以训练的哦‼️ . 2⃣用如果开启无限想象 我的创作秘诀就是不断问自己“如果会怎样……” 如果星星掉下来? 如果玩具在夜里活过来? 这个如果就像一把钥匙,能打开童话世界的大门。每次卡文的时候,我就会用这个方法重新激发灵感 。 . 3⃣好的童话不只是好玩,还要传递一些温暖的力量。我这篇写的是“找到适合自己的生活方式”,其实就是想告诉小朋友(也告诉自己):不用和别人比较,找到属于你的节奏就好主题可以是:勇敢、友谊、接纳自己、保护环境.但记得要用故事去呈现,而不是生硬说教哦! . 👧我是纯粹,自由撰稿人,儿童文学爱好者。 梦想出版属于自己的散文集和童话故事集

0 阅读:0